CALL ~Ā CHATĀ ~Ā EMAILĀ select delivery date at checkout
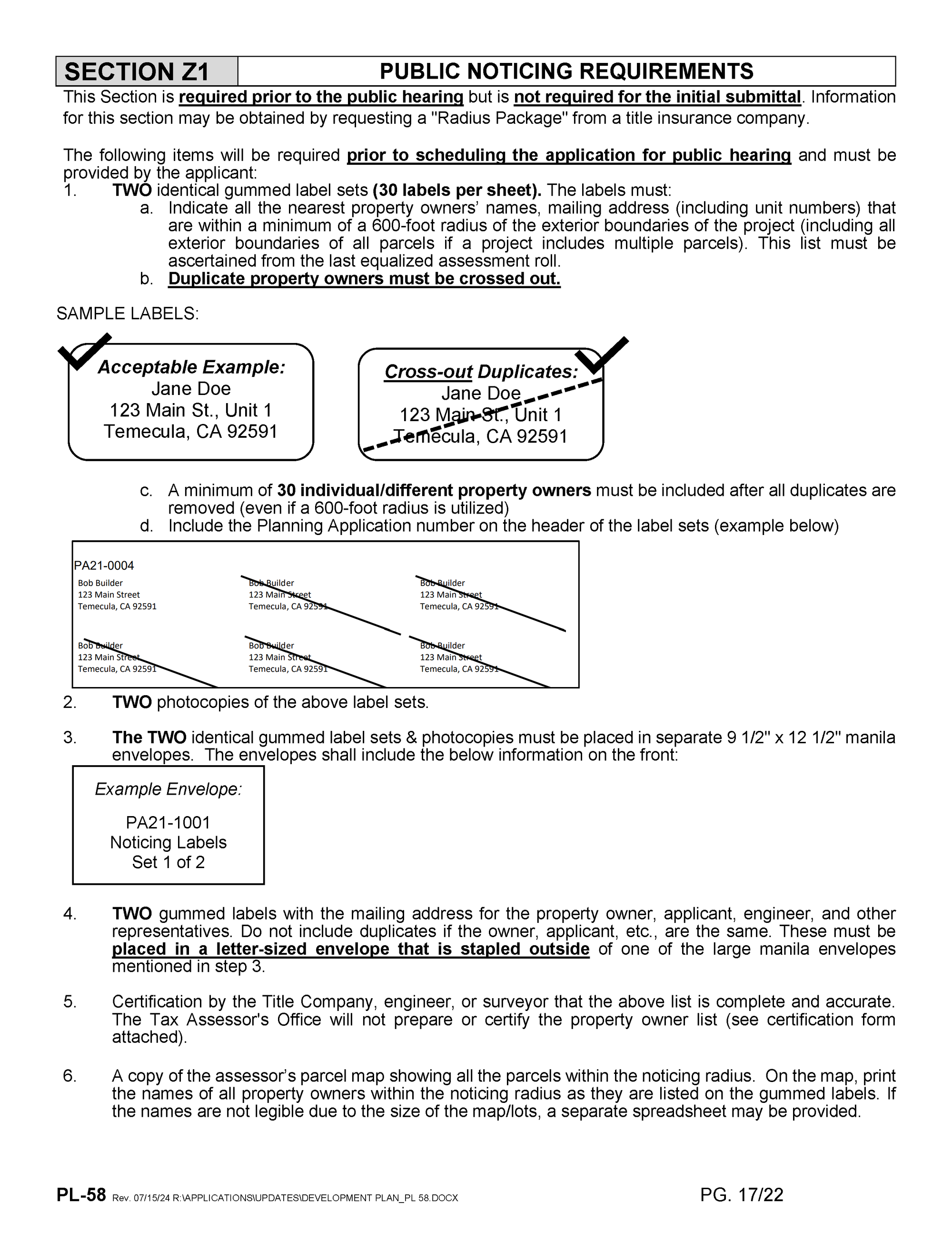
Your Cart is Empty
Taxes and shipping calculated at checkout
I Agree with the Terms & Conditions [View Terms]