CALL CHAT ~ EMAIL  select delivery date at checkout

0

Your Cart is Empty

Order today and you'll receive your package between Mar 19, 2026 and Mar 26, 2026. Select rush or regular delivery options at checkout

Temecula - Radius Map 600 Feet Property Owner List Mailing Labels

Yes
No

Do you need provide us with more information

Order today and you'll receive your package between Mar 19, 2026 and Mar 26, 2026. Select rush or regular delivery options at checkout

Updated July 15, 2024 with new images from application, City of Temecula, Hearing Label Requirement.

Product Includes: (TWO identical packages inserted into separate envelopes)

  • 600' Radius Map
  • 600' Property Owner List*
    *Minimum of 30 unique owners. We will expand if applicable, no extra fee.
  • 1 Set of Gummed Labels - Avery 5160
  • Property Owners List Certification  
  • Electronic Copy
  • Receipt 

-------------------------------------------------------------------
Full Description from the city package (City of Temecula)

Packaged will be formatted to follow the Public Hearing requirements from the submittal requirements.

SECTION Z1
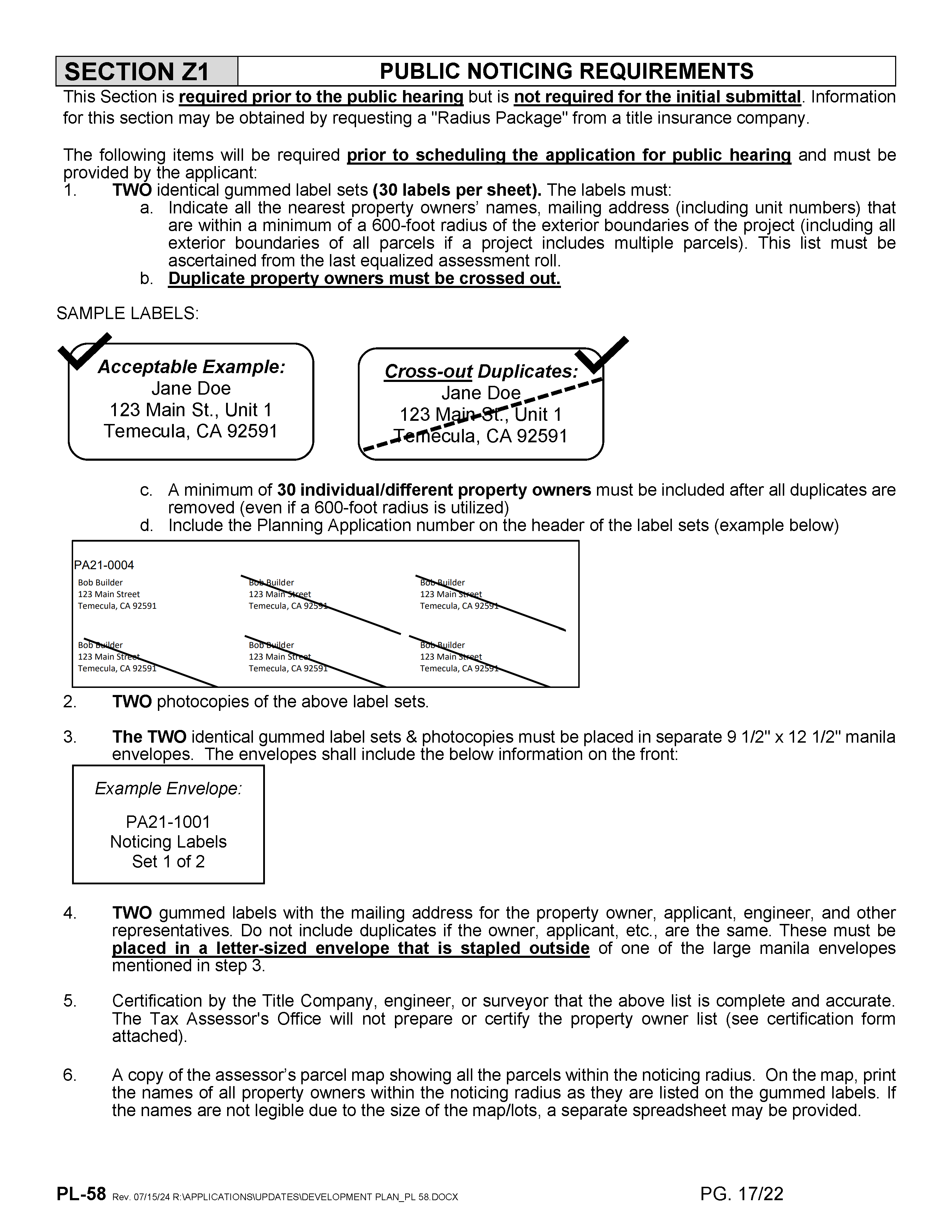
PUBLIC NOTICING REQUIREMENTS
This Section is required prior to the public hearing but is not required for the initial submittal. Information for this section may be obtained by requesting a "Radius Package" from a title insurance company(or mapping company like Express Mapping).

The following items will be required prior to scheduling the application for public hearing and must be provided by the applicant:

1. TWO identical gummed label sets (30 labels per sheet). The labels must:

a. Indicate all the nearest property owners’ names, mailing address (including unit numbers) that are within a minimum of a 600-foot radius of the exterior boundaries of the project (including all exterior boundaries of all parcels if a project includes multiple parcels). This list must be ascertained from the last equalized assessment roll.

b. Duplicate property owners must be crossed out.c. A minimum of 30 individual/different property owners must be included after all duplicates are removed (even if a 600-foot radius is utilized)

d. Include the Planning Application number on the header of the label sets (example below). Please include the PA number in your order notes if you have it available.

2. TWO photocopies of the above label sets.


3. The TWO identical gummed label sets & photocopies must be placed in separate 9 1/2" x 12 1/2" manila envelopes. The envelopes shall include the below information on the front:

4. TWO gummed labels with the mailing address for the property owner, applicant, engineer, and other representatives. Do not include duplicates if the owner, applicant, etc., are the same. These must be placed in a letter-sized envelope that is stapled outside of one of the large manila envelopes mentioned in step 3.


5. Certification by the Title Company, engineer, or surveyor that the above list is complete and accurate. The Tax Assessor's Office will not prepare or certify the property owner list (see certification form attached).


6. A copy of the assessor’s parcel map showing all the parcels within the noticing radius. On the map, print the names of all property owners within the noticing radius as they are listed on the gummed labels. If the names are not legible due to the size of the map/lots, a separate spreadsheet may be provided.

See image for details.