CALL CHAT ~ EMAIL  select delivery date at checkout

0

Your Cart is Empty

Order today and you'll receive your package between Jan 05, 2026 and Jan 12, 2026. Select rush or regular delivery options at checkout

Rancho Palos Verdes Vicinity Map and Property Owners List Mailing Labels

Distance
Do you need provide us with more information

Order today and you'll receive your package between Jan 05, 2026 and Jan 12, 2026. Select rush or regular delivery options at checkout

Product Includes: 

  • Adjacent, 100' or 500' Radius Map (Vicinity Map)
  • Adjacent, 100' or 500' Property Owners Mailing List 
    Keyed to Map
  • 2 Sets of Gummed Mailing Labels - Avery 5160
  • Property Owners List Certification  
  • Electronic Copy

-------------------------------------------------------------------
Full Description from the city package (City of Rancho Palos Verdes
500ft Requirement:
Neighborhood Compatibility Analysis
Site Plan Review - Major
Height Variation Permit
Grading Permit
Extreme Slope Permit
Fence and Wall Permit
Variance Permit

Coastal Permit
100' Radius Map & 500' Radius Map For Planning Commission 

Height Variation
500' Radius Map with 100' Radius Line
Early Neighborhood List of Owners within 100ft of the property (emailed)
Early Neighborhood List of Owners within 500ft of the propeerty (emailed)

Adjacent Properties Only
Minor Exception Permit

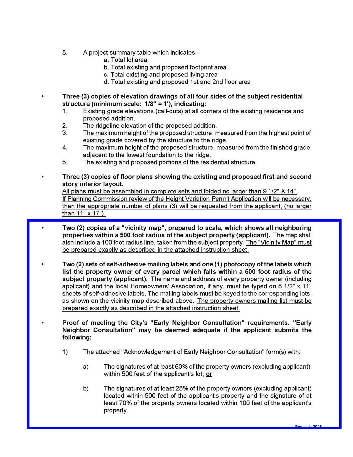
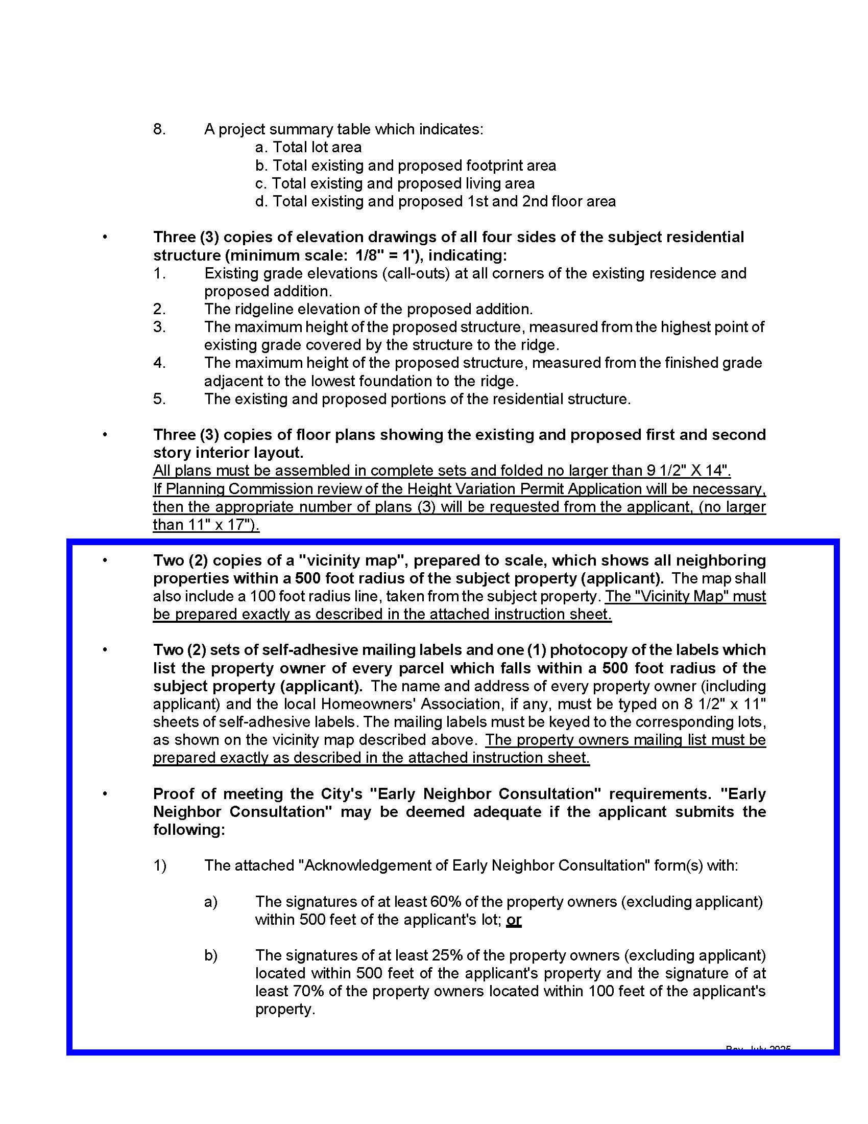
Property Owners Mailing List: Applicants must prepare a certified list of all property owners within the required 100-foot or 500-foot radius of the project site. The names and addresses must be obtained from the latest Los Angeles County Assessor’s roll. Two sets of self-adhesive mailing labels are required, along with a Xerox copy of the ownership list. Each parcel must correspond with the numbering on the vicinity map.

Vicinity Map: A scaled vicinity map must be submitted to clearly show all parcels and property owners within the required noticing radius. Depending on the application, the radius may include adjacent properties, 100 feet, or 500 feet. Each property must be numbered to match the ownership list and mailing labels.

Certification of Mailing List: A notarized affidavit must accompany the mailing list to certify that it is complete, accurate, and prepared in compliance with Rancho Palos Verdes planning regulations. If more than 20% of mailed notices are returned, applicants must resubmit corrected labels prepared by a Title Company or professional mailing list service.

Coastal Permit Regulations: Properties within the Rancho Palos Verdes Coastal Zone may require special noticing. Appealable and non-appealable areas are identified on the official Coastal Zone Map. Projects located in these areas must provide additional documentation to demonstrate compliance with California Coastal Act requirements.

Neighborhood Compatibility & Height Variation Permits: Development projects that require neighborhood compatibility review or height variation approval must include 500-foot radius maps, mailing labels, and signed certification forms. Early Neighbor Consultation forms may also be required, with applicant responsibility to gather signatures within the designated radius.

See image(s) for details.